基于酸露點檢測的煙氣余熱回收改造實踐
1煙氣深度余熱回收
降低排煙溫度,不但可以回收煙氣熱量還可節約不少水量及由此增加的排煙量。
煙氣余熱回收熱量多寡或曰深度,當然與鍋爐排煙與煙氣冷卻器余熱回收后的煙氣溫差大小有關,但對于確定的鍋爐而言,因其排煙溫度基本確定,所以其余熱回收的深度就與煙氣冷卻器出口煙溫直接關聯,而煙氣冷卻器出口煙溫高低的確定,則取決于煙氣酸露點溫度,過高則未能使得余熱回收利益最大,過低則存在低溫腐蝕的風險。由此,準確估計煙氣的酸露點溫度,是決定煙氣余熱回收深度的關鍵。
2煙氣低溫腐蝕
2.1 低溫腐蝕風險
就目前煙氣冷卻器運行控制的出口煙溫而言,業內基本認同是接近甚至低于根據煤樣成分所得的計算酸露點溫度,但具體是否會產生低溫腐蝕的存在有不同看法:
(1)煙溫已降到露點以下,但低溫腐蝕風險并不大;
(2)煙溫已降到酸露點附近或以下,必將導致低溫腐蝕風險增大;
(3)煙溫與酸露點溫度同步下降;
(4)燃煤煙氣的酸露點溫度實際上比水露點溫度高出有限;
(5)煙溫已降到酸露點以下但溫度水平進入低溫腐蝕的低谷區,是工程上可承受的“有限腐蝕”論點。
2.2 煙氣酸露點計算
對于同一種煙氣成分,應用不同的計算方法得到的煙氣露點溫度差異很大。
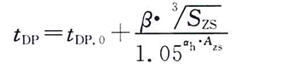
本文的工程實例中采用比較常用的、前蘇聯1973年鍋爐熱力計算標準方法中的煙氣酸露點式(1)進行酸露點溫度估算:
(1)
并且,以Haase·R&Borgmann·H·W的經驗式(2)對相同數據進行計算,作為對照:
(2)
2.3 實際酸露點
由于各種計算煙氣酸露點方法的差異很大,難以判斷哪一個更符合實際情況。更重要的是,從工程應用角度,只有當煙道或受熱面的表面產生結露,才有可能發生低溫腐蝕,因此,應該更在意壁面的結露溫度而非煙氣中存在的酸露點溫度。
3工程實踐(某火電廠)
3.1 酸露點測量
(1) 測量設備
儀器主要性能參數:
測量技術:電導傳感器
酸露點溫度:50℃~280℃
煙氣溫度:0℃~500℃
(2)測量原理
該測量儀主要由前端帶有鉑電極耐熱玻璃探頭的不銹鋼采樣桿和便攜式控制裝置(CPU)組成,探頭通過空氣軟管和電纜連接到CPU控制裝置上。將采樣桿置于煙道中,通過壓縮空氣給采樣桿頂端降溫,由流過傳感器電流的變化可以觀察是否發生結露情況。當采樣桿頂端溫度降低到一定程度,在探頭頂端將產生結露在酸露點溫度,酸露的形成速率和蒸發速率相等,而酸膜厚度和電流的讀數將保持不變,此時通過探頭上的溫度傳感器即可得到酸露點溫度(ADT)。
(3)測量結果
通過測量統計得出,煙氣開始結露的溫度范圍基本都在50℃~70℃之間,大量結露的溫度則是在30℃~50℃范圍,遠低于理論計算溫度,更接近煙氣中的水露點理論計算溫度。其次,結露溫度與機組負荷和排煙溫度并無太大的關聯,與煤種成分的關聯性在此次的試驗中也難以判斷。
對于如此的差別,本文認為是鍋爐煙氣在流經空氣預熱器的換熱降溫過程中,煙氣中的SO3或凝結為液相或與煙氣中的水分結合成為硫酸蒸汽,已基本被煙氣中的飛灰所吸附,從而大幅度降低了煙氣中的SO3濃度,使得其后的實際露點測量溫度偏低。
據此,完全有可能將煙氣冷卻器的出口煙溫在密切監控條件下分階段降低,增加煙氣余熱回收效益。
3.2 煙氣冷卻器出口煙溫調節試驗及運行監控
降低煙氣冷卻器出口煙溫的過程分為兩階段進行:
一,將出口煙溫下降至85℃,控制運行10個月后,對煙氣冷卻器低溫段受熱面進行觀察,未發現明顯腐蝕現象。
二,繼續將出口煙溫下降至75℃,運行4月后觀察,仍未發現明顯腐蝕現象。同位置受熱面對比照片如圖1所示。

圖1 降溫后低溫段肋片管對比
至此,在入爐煤成分不超出試驗范圍情況下,煙氣冷卻器出口煙溫維持在75℃工況下運行至今。
3.3 經濟效益分析
運行記錄數據統計表明,在煙氣冷卻器出口控制煙溫90℃條件下,為保證煙氣加熱器出口煙溫達到80℃以上的排放要求,不同的負荷工況下均需提供輔助蒸汽加熱,負荷越低蒸汽耗量越大。當進行第一階段降溫試驗運行后,各工況的蒸汽耗量明顯降低,高負荷階段已經停用蒸汽,甚至回收的煙氣熱量已多于所需加熱量以致煙溫升高,見表1。
表1 煙氣冷卻器出口煙溫降溫前后MGGH 蒸汽能耗對比 | |||||
項目 | 機組負荷/MW | ||||
900 | 800 | 700 | 600 | ||
設計 工況 | 煙冷器進口煙溫/℃ | 116 | 108 | 104 | 103 |
煙冷器出口煙溫/℃ | 91 | 90 | 89 | 89 | |
煙熱器出口煙溫/℃ | 80 | 80 | 80 | 80 | |
輔助加熱蒸汽量/(t·h-1) | 6.00 | 17.52 | 21.89 | 19.27 | |
第一 階段 | 煙冷器進口煙溫/℃ | 119 | 116 | 108 | 108 |
煙冷器出口煙溫/℃ | 88 | 87 | 84 | 84 | |
煙熱器出口煙溫/℃ | 82 | 81 | 81 | 80 | |
輔助加熱蒸汽量/(t·h-1) | 0 | 0.71 | 8.01 | 4.79 | |
折算成相同進口溫度下的蒸汽減少量/(t·h-1) | 6.00 | 9.72 | 9.33 | 9.15 | |
4結語
(1)燃煤電廠含塵煙氣中的低溫受熱面壁面的實測結露溫度遠低于根據燃煤成分所計算的酸露點溫度,且含塵煙氣經除塵后的實測露點溫度并不高于除塵前的實測露點溫度;
(2)可依據實際酸露點溫度及受熱面壁面溫度來控制煙氣冷卻器的出口煙溫,取得煙氣余熱回收最大化;
(3)進一步完善,可根據入爐煤種成分的變化可能,較大范圍地統計歸納對應實際酸露點溫度的變化規律,納入機組DCS,以對換熱器排煙溫度予以實時追蹤控制。
最新產品
同類文章排行
- 空氣中各氣體的含量、體積比和質量比
- 什么單位必須安裝廢氣VOCs在線監測系統?
- 非甲烷總烴NHMC限值60, 江蘇地標《大氣污染物綜合排放標準》發布!
- 碳排放監測系統—麥越環境助力建設碳中和示范園區
- vocs在線監測設備是什么?VOCS在線監測系統包含哪些部分?
- VOCs在線監測:《環境空氣總烴甲烷和非甲烷總烴的測定標準》HJ 604-2017
- 做voc在線監測系統的都有哪些?例如PID.FID,還有其他嗎
- HJ 38-2017 固定污染源廢氣非甲烷總烴連續監測系統技術要求及檢測方法
- vocs在線監測設備多少錢
- VOCs在線監測設備該怎么選擇?





