HJ 38-2017 固定污染源廢氣非甲烷總烴連續監測系統檢測方法
HJ 38-2017《固定污染源廢氣非甲烷總烴連續監測
系統技術要求及檢測方法》
Specifications and test procedures for nonmethane hydrocarbons
continuous emission monitoring system in stationary sources
(發布稿)
本電子版為發布稿。請以中國環境出版集團出版的正式標準文本為準。
20 18-12- -29發布 2019-07-01實施
生態環境部 發布

7檢測方法
7.1實驗 室檢測要求和方法
7.1.1 一般要求
7.1.1.1至少抽取3套同型號系統在指定的實驗室場地同時進行檢測。
7. 1.1.2 系統具備雙量程或多量程時(非硬件調整),只針對儀器的最小量程進行技術指標檢測。非甲烷總烴監測單元檢測量程最大值為200 mg/m3。
7.1.1.3檢測期間除進行 系統零點和量程校準外,不允許對系統進行計劃外的維護、檢修和調節。
7.1. 1.4 如果因供電問題造成測試中斷,在供電恢復正常后,繼續進行檢測,已經完成的測試指標和數據有效。
7. 1.1.5 如果因系統故障造成測試中斷,在系統恢復正常后,重新開始檢測,已經完成的測試指標和數據作廢;檢測期間,每臺(套)系統故障次數≤2次。
7.1. 1.6 具有自動校準功能的系統,可設定任- -周期,系統進行自動校準;檢測期間,自動校準周期應設置為≥24 h。
7. 1.1.7 各技術指標檢測數據均采用系統數據采集與處理單元存儲記錄的最終結果。
7.1.1.8本標準中的污染物質量濃度均為標準狀態下的以碳計的干質量濃度。
7.1.2 標準物質要求
7.1.2.1標準氣體:市售有證標準氣體,不確定度≤2.0%。
7.1.2.2 零氣(零點氣體)可使用氮氣或潔凈空氣,其中碳氫化合物不得高于0.3 mg/m3。
7.1.2.3 量程標準氣體(量程標氣)采用甲烷或丙烷標氣,其濃度在(80%~100%)滿量程范圍內。較低濃度的標準氣體可以使用高濃度的標準氣體采用稀釋的方法獲得,稀釋裝置的精密度應在1.0%以內。
7.1.3 實驗室檢測方法
7.1.3.1分析周期
分析周期指NMHC-CEMS連續運行時給出兩組測量結果之間的時間間隔,連續3天共.測量3次,每日分析周期都應符合表3的要求。
7.1.3.2儀器檢出限
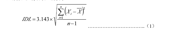
待測系統運行穩定后,通入接近檢出限的零氣或除烴空氣加標樣品,待示值穩定后連續測量7次,記錄每次測得濃度值,計算所取得數據的標準偏差,以3.143倍標準偏差表示儀器檢出限,按公式(1)計算,應符合表3的要求:


7.1.3.3 重復性
待測系統運行穩定后,通入量程標氣,待示值穩定后記錄測量值,使用同-濃度量程標氣重復上述操作至少6次,按公式(2)計算待測系統的重復性(相對標準偏差),應符合表3的要求。

7.1.3.4 線性誤差
待測系統運行穩定并進行零點和量程校準后,依次通入濃度為(20%士5%)滿量程、( 40%士5%)滿量程、( 60%士5%)滿量程和(80%士5%)滿量程的標準氣體;示值穩定后分別記錄系統通入各濃度標準氣體的示值;再次通入零氣,重復上述步驟3次,按公式(3)計算待測系統每種濃度標準氣體測量誤差相對于滿量程的百分比,線性誤差最大值應符合表3的要求。

最新產品
同類文章排行
- 空氣中各氣體的含量、體積比和質量比
- 什么單位必須安裝廢氣VOCs在線監測系統?
- 非甲烷總烴NHMC限值60, 江蘇地標《大氣污染物綜合排放標準》發布!
- 碳排放監測系統—麥越環境助力建設碳中和示范園區
- vocs在線監測設備是什么?VOCS在線監測系統包含哪些部分?
- VOCs在線監測:《環境空氣總烴甲烷和非甲烷總烴的測定標準》HJ 604-2017
- 做voc在線監測系統的都有哪些?例如PID.FID,還有其他嗎
- HJ 38-2017 固定污染源廢氣非甲烷總烴連續監測系統技術要求及檢測方法
- vocs在線監測設備多少錢
- VOCs在線監測設備該怎么選擇?





